Research Highlights Featured Chart

October 10, 2023

Comparing labor market efficiency across Europe

How do the consequences of losing a job vary in different European countries?

Source: Anoo77

Comparing labor markets across countries is a potentially valuable tool for identifying effective policies and institutions. But, because countries often define variables or collect data in divergent ways, making such comparisons is difficult.

In a paper in the American Economic Review: Insights, authors Antoine Bertheau, Edoardo Maria Acabbi, Cristina Barceló, Andreas Gulyas, Stefano Lombardi and Raffaele Saggio shed light on the consequences of losing a job in different labor markets by building a harmonized dataset across seven European countries.

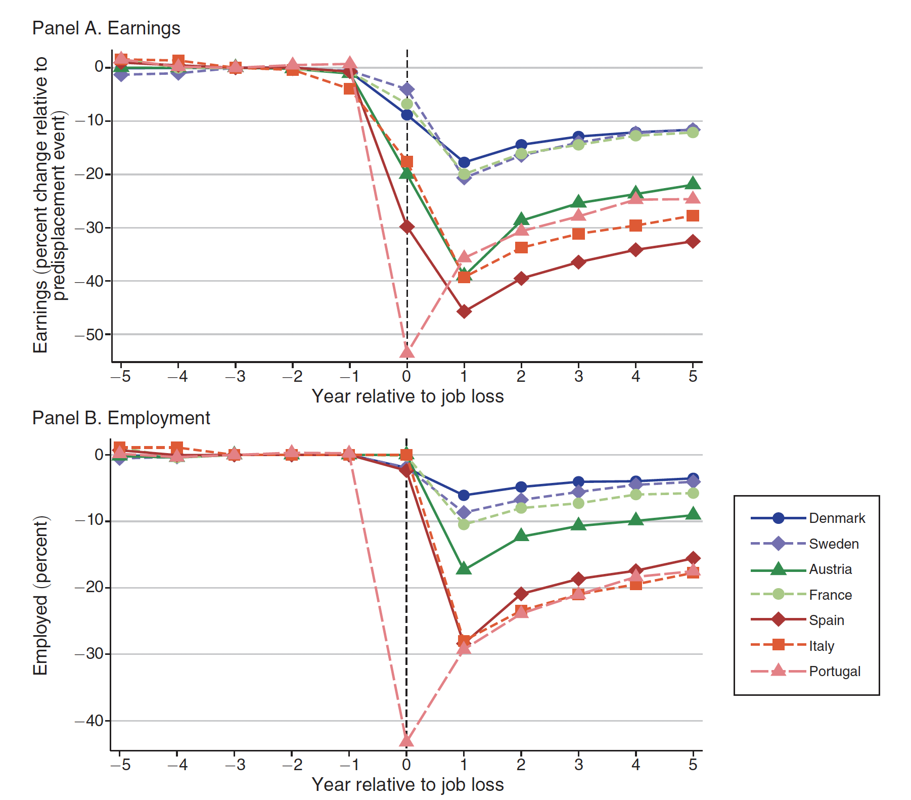
The authors found large variation in how European workers are impacted when they are displaced from a job, which can be seen in panels A and B from Figure 1 in their paper.

 

 

Figure 1 from Bertheau et al. (2023)

 

The chart shows event study estimates of the impact of job loss in Denmark, Sweden, Austria, France, Spain, Italy, and Portugal. Panel A plots the average change in labor earnings five years before and after a worker was displaced from a job. Panel B plots the likelihood that a worker is employed for at least one day within each year.

In all of the countries in the sample, losing work resulted in persistently depressed levels of employment and lower earnings. However, workers in northern European countries suffered substantially less. 

Panel A shows that one year after displacement, earnings of displaced workers in Denmark, Sweden, Austria, and France were 20 percent lower compared to earnings measured in the years before displacement. Workers in the south of Europe saw earnings losses roughly twice as large.

Panel B suggests that a large part of the earnings differences among countries is driven by the probability of remaining unemployed. Five years after a displacement, the probability of being unemployed in Italy, Spain, and Portugal is roughly 10 percentage points higher than in Scandinavian countries and France.

The authors’ findings demonstrate striking differences in labor market outcomes for displaced workers across Europe, which may help inform policymakers.

The Unequal Consequences of Job Loss across Countries appears in the September 2023 issue of the American Economic Review: Insights.